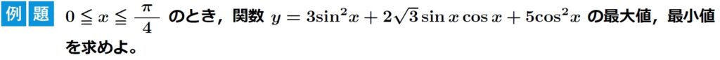
12 三角関数 2025.12.08 ◆ 問題文をクリックすると解説のページに移動します ◆◆ テキストの閲覧はPCまたはタブレットがおススメです ◆ CONTENTS 三角関数の最大最小(sin,cosの2次同次式)三角関数を含む方程式の実数解の個数 三角関数の最大最小(sin,cosの2次同次式) 三角関数を含む方程式の実数解の個数
コメント
コメント内容は、プライバシーを考慮してテキスト等に追加することがあります!
みなさんからのコメントで「数学の部屋」はさらに進化していきます!
コメントは、下の「コメントを書き込む」からどうぞ!