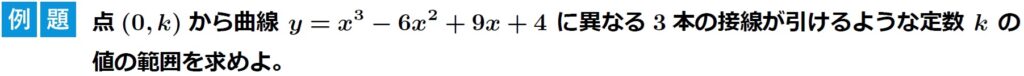
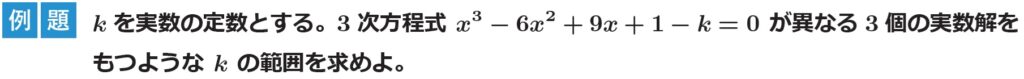
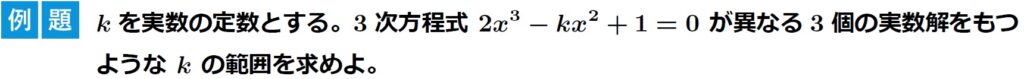
14 微分法と積分法 2025.12.08 ◆ 問題文をクリックすると解説のページに移動します ◆◆ テキストの閲覧はPCまたはタブレットがおススメです ◆ CONTENTS 3次方程式の実数解の個数(1)3次方程式の実数解の個数(2)接線の本数 3次方程式の実数解の個数(1) 3次方程式の実数解の個数(2) 接線の本数
コメント
コメント内容は、プライバシーを考慮してテキスト等に追加することがあります!
みなさんからのコメントで「数学の部屋」はさらに進化していきます!
コメントは、下の「コメントを書き込む」からどうぞ!